近期,我校公共卫生学院青年教师夏希团队,围绕室内空气污染干预与心血管健康效应的临床试验成果“Effects of indoor air purification intervention on blood pressure, blood-oxygen saturation, and heart rate variability: A double-blinded cross-over randomized controlled trial of healthy young adults”,发表于《Science of The Total Environment》,中科院一区Top期刊,影响因子10.753。

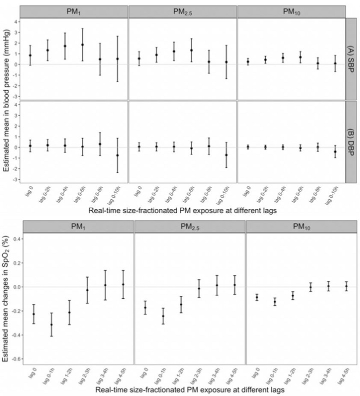
该研究以健康受试者为研究载体,采用双盲交叉随机对照的方式,客观评估了使用空气净化器对室内颗粒物水平(如PM2.5, PM1),以及血管收缩压、舒张压、血氧饱和度、心率变异性等心血管健康指数的影响。

研究结果显示,暴露于PM2.5会对健康青年人群心血管健康相关指标产生负面影响;使用室内空气净化设备可减少 41.7–50.5%的室内颗粒物 (如PM10,、PM2.5,、PM1),并与受试者血压收缩压的降低显著相关 (-2.96 mmHg [95%CI: -5.71, -0.20]),带来心血管健康效应。

相关链接:
夏希,女,我校公共卫生学院流行病与卫生统计学教研室教师。2014年获得中山大学学士学位,2021年获得香港中文大学博士学位,2019年7月-2020年1月于牛津大学访学。香港中文大学公共卫生学院环境卫生系何建辉教授、西安交通大学人居环境与建筑工程学院牛馨祎副教授、牛津大学纳菲尔德人口健康部Peter Ka Hung Chan教授、西安交通学公共卫生学院吴少伟教授等学者参与了本研究。